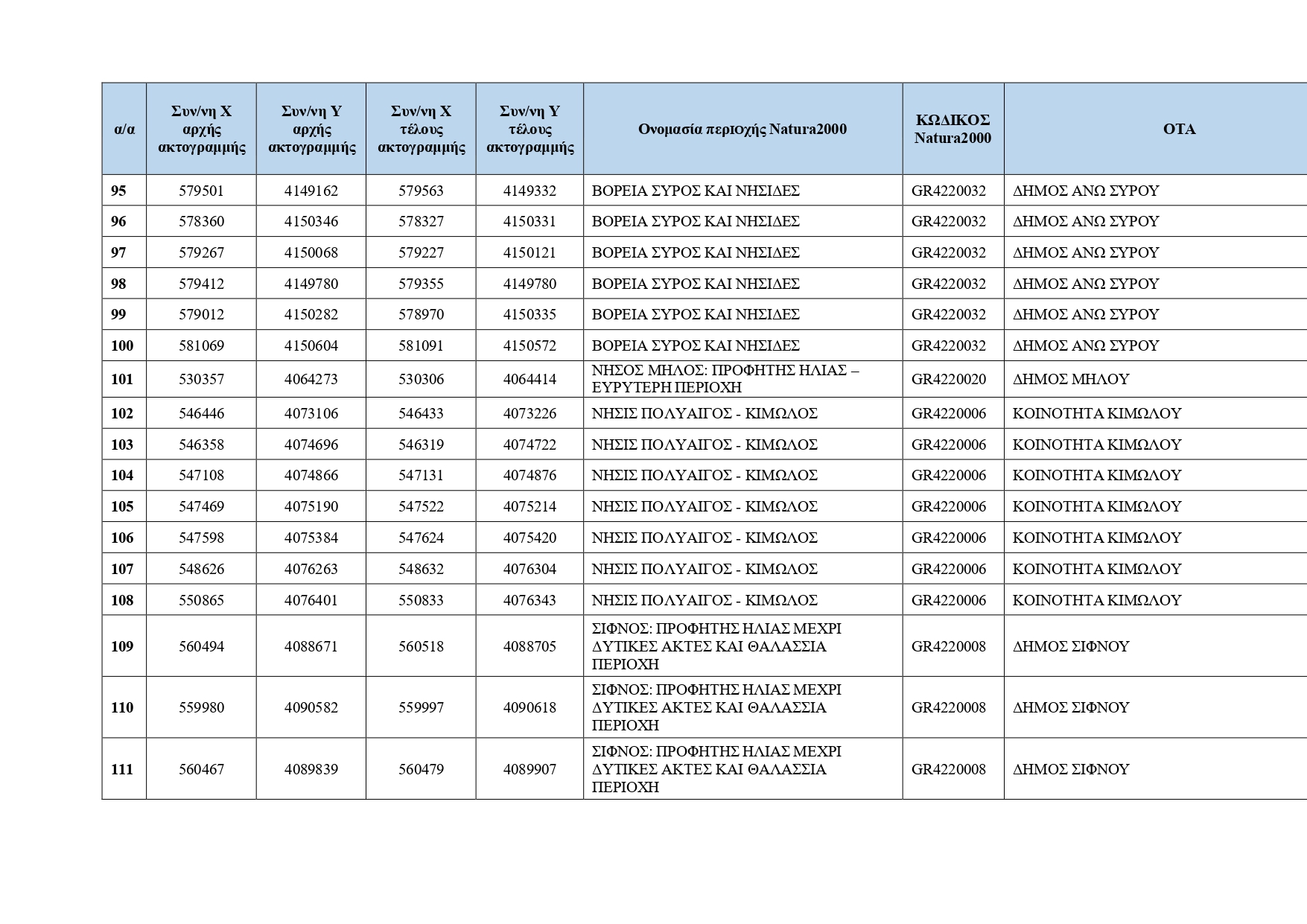
Κρυμμένες ακτές: Ο κατάλογος με τις 251 τοποθεσίες για το 2026

Οι υπ. Εθνικής Οικονομίας και Περιβάλλοντος υπέγραψαν απόφαση για αυξημένη προστασία 251 παραλιών στην Ελλάδα, ενισχύοντας το πλαίσιο του Natura 2000 το 2026.

ΔΙΑΒΑΣΤΕ ΑΚΟΜΗ

Αυξήθηκαν σε 251 οι απάτητες παραλίες στην Ελλάδα το 2026 που βρίσκονται υπό καθεστώς αυξημένης περιβαλλοντικής προστασίας.

Την Κοινή Υπουργική Απόφαση (ΚΥΑ) με θέμα την: «Τροποποίηση της υπ. αριθμ. ΥΠΕΝ/ΓΔΠΠ/35330/646/02.04.2024 Κοινής Υπουργικής Απόφασης «Όροι και περιορισμοί για τους αιγιαλούς και τις παραλίες υψηλής προστασίας (απάτητες παραλίες)» (Β’ 2364), όπως έχει τροποποιηθεί με την υπ. αριθμ. ΥΠΕΝ/Δ ΔΦΠΒ/68831/1806 (Β΄3734)» υπέγραψαν οι υπουργοί Εθνικής Οικονομίας και Οικονομικών, Κυριάκος Πιερρακάκης και Περιβάλλοντος και Ενέργειας, Σταύρος Παπασταύρου.

Με την εν λόγω απόφαση τροποποιείται προηγούμενη ΚΥΑ για τις «Απάτητες Παραλίες», προκειμένου να βελτιωθεί το πλαίσιο περιβαλλοντικής προστασίας, ενσωματώνοντας νέες παραλίες στη λίστα των Απάτητων Παραλιών, ανεβάζοντας τον αριθμό τους από 238 σε 251.

Με την ανωτέρω τροποποίηση επιδιώκεται η αποτελεσματική προστασία παραλιών, που έχουν ιδιαίτερη αισθητική, γεωμορφολογική ή οικολογική αξία, καθώς και η διατήρηση των τύπων οικοτόπων και των ειδών χλωρίδας και πανίδας που απαντώνται στις συγκεκριμένες παραλίες. Ειδικότερα, αυξάνονται οι αιγιαλοί και παραλίες εντός περιοχών που συμπεριλαμβάνονται στον Εθνικό Κατάλογο Περιοχών του Ευρωπαϊκού Οικολογικού Δικτύου Natura 2000 και στις οποίες απαγορεύεται πλέον η παραχώρηση απλής χρήσης, καθώς και οποιαδήποτε άλλη δράση, που μπορεί να θέσει σε κίνδυνο τη μορφολογία τους και την ακεραιότητά τους ως προς τις οικολογικές τους λειτουργίες.

Η λίστα με τις 251 απάτητες παραλίες

Κρυμμένες ακτές: Ο κατάλογος με τις 251 τοποθεσίες για το 2026

Κρυμμένες ακτές: Ο κατάλογος με τις 251 τοποθεσίες για το 2026

Κρυμμένες ακτές: Ο κατάλογος με τις 251 τοποθεσίες για το 2026Κρυμμένες ακτές: Ο κατάλογος με τις 251 τοποθεσίες για το 2026Κρυμμένες ακτές: Ο κατάλογος με τις 251 τοποθεσίες για το 2026 Κρυμμένες ακτές: Ο κατάλογος με τις 251 τοποθεσίες για το 2026 Κρυμμένες ακτές: Ο κατάλογος με τις 251 τοποθεσίες για το 2026 Κρυμμένες ακτές: Ο κατάλογος με τις 251 τοποθεσίες για το 2026 Κρυμμένες ακτές: Ο κατάλογος με τις 251 τοποθεσίες για το 2026 Κρυμμένες ακτές: Ο κατάλογος με τις 251 τοποθεσίες για το 2026 Κρυμμένες ακτές: Ο κατάλογος με τις 251 τοποθεσίες για το 2026 Κρυμμένες ακτές: Ο κατάλογος με τις 251 τοποθεσίες για το 2026 Κρυμμένες ακτές: Ο κατάλογος με τις 251 τοποθεσίες για το 2026 Κρυμμένες ακτές: Ο κατάλογος με τις 251 τοποθεσίες για το 2026 Κρυμμένες ακτές: Ο κατάλογος με τις 251 τοποθεσίες για το 2026 Κρυμμένες ακτές: Ο κατάλογος με τις 251 τοποθεσίες για το 2026 Κρυμμένες ακτές: Ο κατάλογος με τις 251 τοποθεσίες για το 2026 Κρυμμένες ακτές: Ο κατάλογος με τις 251 τοποθεσίες για το 2026 Κρυμμένες ακτές: Ο κατάλογος με τις 251 τοποθεσίες για το 2026 Κρυμμένες ακτές: Ο κατάλογος με τις 251 τοποθεσίες για το 2026 Κρυμμένες ακτές: Ο κατάλογος με τις 251 τοποθεσίες για το 2026

 

Διαβάστε επίσης:

Κοινωνικός Τουρισμός 2026 – 2027: Ποια ΑΦΜ έχουν δικαίωμα αίτησης σήμερα

Συνεχίζεται η υποβολή αιτήσεων για τη συμμετοχή στο Πρόγραμμα...

e-ΕΦΚΑ και ΔΥΠΑ: Καταβάλλονται σήμερα κύριες και επικουρικές συντάξεις

Συνολικά 1.366.334.451,81 ευρώ θα πληρώσουν έως αύριο, 24 Απριλίου...

Φιλοδωρήματα: Πώς επιβάλλεται η φορολογία – Όσα πρέπει να ξέρουν οι εργαζόμενοι, με αναλυτικά παραδείγματα

Ιδιαίτερα προσεκτικοί θα πρέπει να είναι όσοι εργαζόμενοι, κυρίως...
Δείτε όλες τις τελευταίες Ειδήσεις από την Ελλάδα και τον Κόσμο, τη στιγμή που συμβαίνουν, στο ΔΕΔΟΜΕΝΟ.

ΑΚΟΛΟΥΘΗΣΤΕ ΜΑΣ

ΑΦΗΣΤΕ ΤΟ ΣΧΟΛΙΟ ΣΑΣ

εισάγετε το σχόλιό σας!
παρακαλώ εισάγετε το όνομά σας εδώ

Ενοίκια: Τριπλή αποζημίωση για γιατρούς, νοσηλευτές και εκπαιδευτικούς – Ποιοι δικαιούνται, τα ποσά και τα έγγραφα

Τριπλή επιστροφή ενοικίου θα δοθεί σε περίπου 50.000 γιατρούς, νοσηλευτές και εκπαιδευτικούς που υπηρετούν στην Περιφέρεια μέσα στη χρονιά με το πρώτο να καταβάλλεται...

Κοινωνικός Τουρισμός 2026 – 2027: Ποια ΑΦΜ έχουν δικαίωμα αίτησης σήμερα

Συνεχίζεται η υποβολή αιτήσεων για τη συμμετοχή στο Πρόγραμμα Κοινωνικού Τουρισμού Εργαζομένων και Ανέργων  της ΔΥΠΑ για την περίοδο 2026-2027. Συγκεκριμένα, σήμερα μπορούν να...

e-ΕΦΚΑ και ΔΥΠΑ: Καταβάλλονται σήμερα κύριες και επικουρικές συντάξεις

Συνολικά 1.366.334.451,81 ευρώ θα πληρώσουν έως αύριο, 24 Απριλίου ο e-ΕΦΚΑ και η ΔΥΠΑ σε 2.666.941 δικαιούχους. Συγκεκριμένα: Ο e-ΕΦΚΑ πληρώνει:αύριο, 24 Απριλίου 1.295.000.000 ευρώ σε 2.585.000 δικαιούχους για κύριες και...

Φιλοδωρήματα: Πώς επιβάλλεται η φορολογία – Όσα πρέπει να ξέρουν οι εργαζόμενοι, με αναλυτικά παραδείγματα

Ιδιαίτερα προσεκτικοί θα πρέπει να είναι όσοι εργαζόμενοι, κυρίως στην εστίαση και στον Τουρισμό, λαμβάνουν φιλοδωρήματα μέσω POS. Γράφει ο Δημήτρης Χριστούλιας Οι φορολογούμενοι θα πρέπει...

ΔΕΗ: Συγκέντρωση κεφαλαίων με αύξηση μετοχικού κεφαλαίου για το νέο Στρατηγικό Πλάνο 2030

Ο Όμιλος ΔΕΗ ανακοινώνει την πρόθεσή του να αντλήσει κεφάλαια μέσω αύξησης μετοχικού κεφαλαίου κατά περίπου 4 δισεκατομμυρίων ευρώ, με σκοπό τη χρηματοδότηση του...

Λέσβος – Αφθώδης πυρετός: Αναβολή φορολογικών και ασφαλιστικών υποχρεώσεων και απαλλαγή από δημοτικά τέλη για τους πληγέντες

Την επέκταση των μέτρων αναστολής φορολογικών και ασφαλιστικών υποχρεώσεων αλλά και της απαλλαγής από τα δημοτικά τέλη και για τις περιπτώσεις εκτροφών που επλήγησαν...

Δημόσιο χρέος: Πόσο έχει συρρικνωθεί από το 2020 και έπειτα στην Ελλάδα – Ανακαλύψτε πίνακες

«Το 2025 το δημόσιο χρέος της Ελλάδας μειώθηκε κατά 8 ποσοστιαίες μονάδες, καταγράφοντας τον ταχύτερο ρυθμό αποκλιμάκωσης σε ολόκληρη την Ευρώπη», σχολίασε κατά την τακτική...

Βουλή: Προτάθηκε ρύθμιση για αποζημίωση ακτοπλοϊκών εταιρειών λόγω υποχρεωτικών εκπτώσεων

Την ικανοποίηση ενός διαχρονικού αιτήματος της ακτοπλοϊκής αγοράς προβλέπει τροπολογία που εντάχθηκε σε νομοσχέδιο του Υπουργείου Ανάπτυξης, κατόπιν πρωτοβουλίας του Υπουργού Ναυτιλίας και Νησιωτικής Πολιτικής, Βασίλη Κικίλια και...

Forbes: Η περιουσία των Ρώσων δισεκατομμυριούχων αυξήθηκε 11% παρά τις κυρώσεις και τον πόλεμο

Οι Ρώσοι δισεκατομμυριούχοι αύξησαν τον πλούτο τους κατά 11%, φτάνοντας στο επίπεδο ρεκόρ των 696,5 δισεκατομμυρίων δολαρίων, τον τελευταίο χρόνο, παρά τον πόλεμο στην...

Ετήσια ενίσχυση για συνταξιούχους και ευάλωτους: Αναλυτικός οδηγός με ερωτήσεις και απαντήσεις για τις νέες αλλαγές – Τι αλλάζει...

Τον Νοέμβριο του 2026 θα καταβληθεί το διευρυμένο ετήσιο επίδομα στα 300 ευρώ καθαρά από 250 ευρώ σε συνταξιούχους και ευάλωτες ομάδες πολιτών. Της Κατερίνας...

// ΡΟΗ ΕΙΔΗΣΕΩΝ

Δεν κοιμάσαι καλά; 7 απλά κόλπα που θα αλλάξουν τον ύπνο σου

Κουρασμένος/η ξανά το πρωί, πας στο κρεβάτι αλλά ο...

Βίντεο: Σκύλος ούρησε σε αυλή και ο ιδιοκτήτης επιτέθηκε με μαχαίρι σε δύο άτομα – Τραυμάτισε και...

Μια ασήμαντη αφορμή -το γεγονός ότι ένας σκύλος ούρησε...

Ελίνα Παπίλα: «Δεν απαίτησα συνέντευξη από τον Χριστό» – Πώς απαντά στον Γιώργο Λιάγκα;

Η Ελίνα Παπίλα βρέθηκε καλεσμένη το πρωί της Παρασκευής...

Κωνσταντίνος Αργυρός: Εξερράγη για την Κίμπερλι Γκίλφοϊλ – «Αρκετά πια, για όνομα του Θεού»

Σε μια από τις καλύτερες φάσεις του βρίσκεται ο...

Ιράν: Διπλωματική ένταση στην Τεχεράνη – Συνομιλίες με Πακιστάν και Ιράκ για εκεχειρία

Ο υπουργός Εξωτερικών του Ιράν, Αμπάς Αραγτσί, πραγματοποίησε σειρά...

Φονικό στον Άγιο Δημήτριο: Η στιγμή που ο 20χρονος και οι τρεις συλληφθέντες μεταφέρονται από τη ΓΑΔΑ...

Στο Ναυτοδικείο οδηγoύνται ο 20χρονος δράστης της δολοφονίας του...

“Η στιγμή που εξαφανίστηκε η ανθρωπότητα… εκτός από 1.000 ανθρώπους – Τι έγινε;”

Μια νέα επιστημονική μελέτη από ερευνητική ομάδα στην Κίνα...

Τόκιο: Η κυβέρνηση προτρέπει τους εργοδότες να επιτρέψουν τα σορτς στη δουλειά λόγω καύσωνα – Τι είναι...

Η μητροπολιτική κυβέρνηση του Τόκιο ενθαρρύνει το προσωπικό να...

Η ΔΥΠΑ προωθεί τη μαθητεία με 50 ΕΠΑΣ Μαθητείας

Η Δημόσια Υπηρεσία Απασχόλησης (ΔΥΠΑ) βρέθηκε στο επίκεντρο της...

Κάγια Κάλας: Οι συνομιλίες με το Ιράν απαιτούν ειδικούς στα πυρηνικά, αλλιώς η Τεχεράνη θα γίνει πιο...

Προειδοποίηση για τους κινδύνους που ελλοχεύουν στις διαπραγματεύσεις με...

Μαρίνα Σταυράκη: Ο Τούρκος σύντροφός της την έχει στο κινητό με όνομα διάσημης ηθοποιού – Πότε επισκέπτεται...

Μια από τις πιο πολυσυζητημένες εμφανίσεις της βραδιάς έκανε...

Ζωγράφου: Βρέθηκε χειροβομβίδα στην Πανεπιστημιούπολη

Μια χειροβομβίδα βρέθηκε στην Πανεπιστημιούπολη στου Ζωγράφου το πρωί...

ΕΟΤ Πολωνίας: Ανάδειξη του υπόγειου φυσικού θησαυρού της Ελλάδας για τουριστική ανάπτυξη

Ο υπόγειος και υπέργειος φυσικός πλούτος της Ελλάδας αναδείχθηκαν...

Λάρισα: Βρέθηκαν νεκρές δύο γυναίκες στο σπίτι τους – Αποκλείεται εγκληματική ενέργεια

Ένα μυστήριο εκτυλίσσεται στη Λάρισα από χθες το απόγευμα...

Στέφανος Τσιτσιπάς: Προκάλεσε αίσθηση για τους λάθος λόγους – Νέα έκρηξη από τον τενίστα!

Ο Στέφανος Τσιτσιπάς, κορυφαίος Έλληνες τενίστας με σπουδαίες διακρίσεις...

Ο σκύλος σου μυρίζει άσχημα; Το απλό κόλπο που αλλάζει τα πάντα

Σου έχει τύχει να επιστρέφεις σπίτι και ο σκύλος...

Σταματίνα Τσιμτσιλή: Αποκάλυψε πότε επανέρχεται στο Super Κατερίνα η Καινούργιου

Την πιο δύσκολη αλλά και όμορφη περίοδο βιώνει η...

Μάρκο Ρούμπιο: Οι ΗΠΑ καλωσορίζουν το Ιράν στο Μουντιάλ, αλλά όχι τους Φρουρούς της Ισλαμικής Επανάστασης

Παρά τα όσα γράφονται και διαρρέονται κατά καιρούς, σχετικά...

Γιατί το φαγητό σου δεν έχει γεύση; Το «κρυφό» συστατικό που το αλλάζει

Ας είμαστε ειλικρινείς: έχει τύχει να μαγειρέψεις και το...

Λασίθι: 68χρονη μητέρα και τα δύο παιδιά της επιτέθηκαν με μαχαίρι και ρόπαλο σε 36χρονο

Ένα οικογενειακό «ντου» δέχτηκε 36χρονος στο Λασίθι της Κρήτης...

Anne Hathaway: Ανακηρύχθηκε «η πιο όμορφη γυναίκα στον κόσμο» – Έτσι ήταν πριν από τις πλαστικές

Το τελευταίο διάστημα, η Anne Hathaway βρέθηκε στο επίκεντρο...

Πέδρο Σάντσεθ: «Δεν στηριζόμαστε σε emails» – Η αντίδραση της Μαδρίτης στα σενάρια «απομάκρυνσης» της Ισπανίας από...

Ο πρωθυπουργός της Ισπανίας, Πέδρο Σάντσεθ, επιχείρησε την Παρασκευή...

Κεφαλονιά: «Καβγάς με τη σύζυγό μου που επέτρεψε στη Μυρτώ να βγει με τον 23χρονο το μοιραίο...

Για τα στοιχεία που έρχονται καθημερινά στη δημοσιότητα στην...

Πιέσεις στο Χρηματιστήριο Αθηνών – Αρνητική διάθεση και στις ευρωπαϊκές αγορές

Πτωτικές τάσεις σημειώνουν οι τιμές των μετοχών στο άνοιγμα...

Μαραντόνα: Αποκαλυπτικές λεπτομέρειες για τη σορό του Αργεντινού, το 17λεπτο βίντεο και τα δάκρυα της κόρης του...

Οι εικόνες, η λεπτομερής περιγραφή του νεκρού Ντιέγκο Μαραντόνα...

Τασούλας για Γενοκτονία Αρμενίων: Η ιστορική μνήμη απαιτεί συνεχή επαγρύπνηση για να μην επαναληφθούν τα τραγικά γεγονότα...

Στη σημερινή 111η επέτειο της Γενοκτονίας των Αρμενίων από την Οθωμανική Αυτοκρατορία αναφέρεται,...

Ισχυροί ανεμοστρόβιλοι έπληξαν τη βόρεια Οκλαχόμα – Συγκλονιστικό ΒΙΝΤΕΟ από αεροπλάνο

Εκτεταμένες ζημιές σε αεροπορική βάση στην περιοχή ...

Σταματίνα Τσιμτσιλή: Γιατί αποφεύγει τις κοσμικές εμφανίσεις με τον Θέμη Σοφό – Η αιτία

Στον Τάκη Ζαχαράτο και στην Έλενα Παπαρίζου διασκέδασε η...

Πάνος Καλίδης: Ξέσπασε μπροστά στις κάμερες για το περιστατικό με τον μουσικό του – «Στις δουλειές σας...

Ο τραγουδιστής Πάνος Καλίδης συναντήθηκε με τις κάμερες του...

Reuters: Οι ΗΠΑ σκέφτονται την απομάκρυνση της Ισπανίας από το ΝΑΤΟ – Κυρώσεις για τους «απρόθυμους» εταίρους

Ένα εσωτερικό μήνυμα ηλεκτρονικού ταχυδρομείου του Πενταγώνου, το οποίο...

ΙΝΣΕΤΕ: Εξαιρετική δυναμική σημείωσε ο ελληνικός τουρισμός το 2025

Μια ιδιαίτερα δυναμική πορεία κατέγραψε το 2025 ο ελληνικός...

Θεσσαλονίκη: «Είδα το χέρι του να βγαίνει μέσα από τα σκουπίδια», είπε ο ένας από τους δύο...

Τους υπαλλήλους του δήμου Θεσσαλονίκης, που έσωσαν χθες (23/4/2026)...

Ταϊρίκ Τζόουνς: Το ΑΣΕΑΔ ανέτρεψε την τιμωρία του σέντερ του Ολυμπιακού

Κανονικά στη διάθεση του Γιώργου Μπαρτζώκα τίθεται ο Ταϊρίκ...
spot_img

// ΔΗΜΟΦΙΛΗ

Φαίη Ξυλά: Η αποκάλυψη για τον πρώην άντρα της και τον γιο τους – Η σύνδεσή τους

Η Φαίη Ξυλά σήμερα, Πέμπτη 23 Απριλίου, βρέθηκε καλεσμένη...

Κεφαλονιά: Ποιος είναι πραγματικά ο πατέρας της Μυρτούς – Το σκοτεινό παρελθόν του

Σοκ και βαθιά θλίψη έχει προκαλέσει στο πανελλήνιο ο...

Παναγιώτης Κουτσουμπής: Ολόιδιος με τον πατέρα του! Δείτε τον πεθερό της Καινούργιου (Φωτογραφία)

Μια πολύ τρυφερή ανάρτηση έκανε σήμερα, Πέμπτη 23 Απριλίου,...
spot_img

e-ΕΦΚΑ και ΔΥΠΑ: Αύριο καταβάλλονται 1,3 εκατ. ευρώ για κύριες και επικουρικές συντάξεις – Δείτε όλες τις πληρωμές

Συνολικά 1.366.334.451,81 ευρώ θα πληρώσουν έως αύριο, 24 Απριλίου ο e-ΕΦΚΑ και η ΔΥΠΑ σε 2.666.941 δικαιούχους. Συγκεκριμένα: Ο e-ΕΦΚΑ πληρώνει:αύριο, 24 Απριλίου 1.295.000.000 ευρώ σε 2.585.000 δικαιούχους...

Νέα μέτρα: Πότε ξεκινά η ρύθμιση χρεών σε εφορία και ταμεία σε 72 δόσεις – Τι αλλαγές φέρνει ο...

Τον Ιούνιο θα «τρέξει» η νέα ρύθμιση οφειλών σε 72 μηνιαίες δόσεις, που έχουν καταστεί ληξιπρόθεσμες έως τις 31 Δεκεμβρίου 2023. Γράφει ο Δημήτρης Χριστούλιας Το...

Νέα μέτρα στήριξης: Ποιοι εντάσσονται για πρώτη φορά στις ενισχύσεις – Λεπτομερείς παρεμβάσεις για οικογένειες, συνταξιούχους και ενοικιαστές

Τα μέτρα στήριξης που ανακοίνωσε ο Πρωθυπουργός, Κυριάκος Μητσοτάκης μετά τη γνωστοποίηση των στοιχείων για το πλεόνασμα από την ΕΛΣΤΑΤ, εξειδίκευσε το οικονομικό επιτελείο...

Γιάννης Μπρατάκος: Ευνοϊκά τα μέτρα για τις επιχειρήσεις – Απαραίτητη η συνέπεια και η σταθερότητα

Ο Πρόεδρος του ΕΒΕΑ, κ. Γιάννης Μπρατάκος, μετά την ανακοίνωση από τον Πρωθυπουργό, κ. Κυριάκο Μητσοτάκη, της νέας δέσμης μέτρων οικονομικής ενίσχυσης και την...

Συνταξιούχοι: Στα 300 ευρώ η χρηματική βοήθεια κάθε Νοέμβριο – Λεπτομερώς τα νέα εισοδηματικά κριτήρια

Η διεύρυνση της οικονομικής ενίσχυσης των συνταξιούχων και των ευάλωτων ομάδων είναι ένα από τα μέτρα που ανακοινώθηκαν από τον Κυριάκο Μητσοτάκη και εξειδικεύθηκαν...

Μέτρα για το ιδιωτικό χρέος: Ποιες οφειλές περιλαμβάνονται στη ρύθμιση των 72 δόσεων – Τι ισχύει για την άρση κατασχέσεων λογαριασμών

Τα μέτρα για την αντιμετώπιση του ιδιωτικού χρέους που ανακοίνωσε νωρίτερα ο Πρωθυπουργός, Κυριάκος Μητσοτάκης, εξειδίκευσε το οικονομικό επιτελείο. Τα μέτρα αυτά αφορούν στη δυνατότητα...

Τζιτζικώστας από Βρυξέλλες: «Παίρνουμε δράση για να αντιμετωπίσουμε τις συνέπειες στις μεταφορές και τα καύσιμα λόγω της κρίσης στη Μέση Ανατολή»

Στο Έκτακτο Άτυπο Συμβούλιο Υπουργών Μεταφορών της ΕΕ, για την ενεργειακή κρίση και τις επιπτώσεις στις μεταφορές λόγω του πολέμου στη Μέση Ανατολή, που...

ΕΛΣΤΑΤ: Το πρωτογενές πλεόνασμα θα φτάσει το 4,9% του ΑΕΠ το 2025

Στο 4,9% του ΑΕΠ ανήλθε το πρωτογενές πλεόνασμα 4,9% του ΑΕΠ  το 2025 σύμφωνα με την ΕΛΣΤΑΤ. Το ποσοστό αυτό μεταφράζεται σε ποσό 12,13...

Η Ευρώπη ετοιμάζεται να αντιμετωπίσει την ενεργειακή κρίση εν μέσω προειδοποιήσεων για έλλειψη καυσίμων για αεροσκάφη – Το προσχέδιο...

Η Ευρωπαϊκή Επιτροπή θα παρουσιάσει σήμερα μια δέσμη μέτρων με στόχο την αντιστάθμιση των αυξανόμενων τιμών ενέργειας, καθώς οι χώρες αντιμετωπίζουν το μεγαλύτερο σοκ...

Καινοτόμο πρόγραμμα της ΔΥΠΑ για παιδικές κατασκηνώσεις: Διατίθενται 70.000 vouchers – Ποιοι δικαιούνται και πώς να τα αποκτήσουν

Έως τον Μάιο αναμένεται να ανοίξει η πλατφόρμα για την υποβολή αιτήσεων συμμετοχής στο «Πρόγραμμα Διαμονής Παιδιών σε Παιδικές Κατασκηνώσεις έτους 2026» της ΔΥΠΑ, αφού...

Επίτροπος ενέργειας της ΕΕ: Η Ευρώπη θα βιώσει ένα απαιτητικό καλοκαίρι με ενδεχόμενες ελλείψεις καυσίμων

Η Ευρώπη θα αντιμετωπίσει ένα δύσκολο καλοκαίρι με πιθανές ελλείψεις καυσίμων και άλλα προβλήματα που σχετίζονται με το πετρέλαιο, και ακόμη και το καλύτερο...

e-ΕΦΚΑ και ΔΥΠΑ: Ποιοι θα λάβουν πληρωμές μέχρι την Παρασκευή

Συνολικά 1.366.334.451,81 ευρώ θα πληρώσουν  έως τις 24 Απριλίου ο e-ΕΦΚΑ και η ΔΥΠΑ σε 2.666.941 δικαιούχους. Συγκεκριμένα: Ο e-ΕΦΚΑ πληρώνει:στις 24 Απριλίου 1.295.000.000 ευρώ σε 2.585.000 για κύριες...

Οι πρόσφατες ενισχύσεις για οικογένειες και επιχειρήσεις – Όλες οι νέες λεπτομέρειες

Μετά την ανακοίνωση του πλεονάσματος της ελληνικής οικονομίας για το 2025 από την Eurostat σήμερα το μεσημέρι, ο Πρωθυπουργός, Κυριάκος Μητσοτάκης αναμένεται να ανακοινώσει...